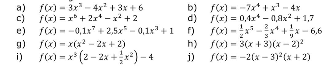
Untersuche die Funktionen auf Symmetrie, Verhalten im Unendlichen und Schnittpunkt mit der y-Achse Py.
Lizenzhinweis
Alle Bestandteile dieses Materials sind frei oder unlizenziert. Klicken Sie auf einen Baustein, um die Lizenz zu sehen.




